Eksperimen Vitamin C
In this magic writing experiment we had to prepare the vitamin C solution by using lemon. Get your students to test their fruit and vegetables for vitamin C using simple kitchen equipment and household items.

Wow Reaksi Betadine Dicampur Vitamin C Youtube
7 1 and H 9.
Eksperimen vitamin c. Sesuai dengan tagline nya yaitu 1000 mg of vitamin C You C 1000 benar-benar memiliki kandungan 1000 mg vitamin C. Kebutuhan vitamin C memang berbeda-beda bagi setiap orang tergantung pada kebiasaan hidup masing-masing. Eksperimen yang telah dijalankan bagi mengenal pasti kandungan vitamin C di antara buah- buahan import dengan buah-buahan tempatan.
Tapi kali ni yang paling successful sebab cantik kemain result yang dapat. If playback doesnt begin shortly. Dengan bentuk botol yang simpel dan ringkas membuat You C 1000 ini dapat menjadi bekal di dalam perjalanan jauh.
Ia bertujuan untuk mengetahui buah manakah lebih banyak kandungan vitamin C. Youll need a few supplies for this experiment. What you need for the dissappearing color experiment.
The Chemistry of Vitamin C Lacey Frigaard Lab Partner. In regard to the trials that took place with the Kirkland Vitamin C supplement Trial 1 and 3 resulted in the correct indicator colours and approximately the same amount of iodine was used to titrate the solution. Pada percobaan ini yang terjadi a.
It has been proven that low levels of vitamin C lead to the disease known as scurvy a nasty disease which exhibits brown spot formation on the skin spongy gums and bleeding from mucous. Choose your experiment Part B. Add 10 drops of starch indicator solution to the Erlenmeyer flask.
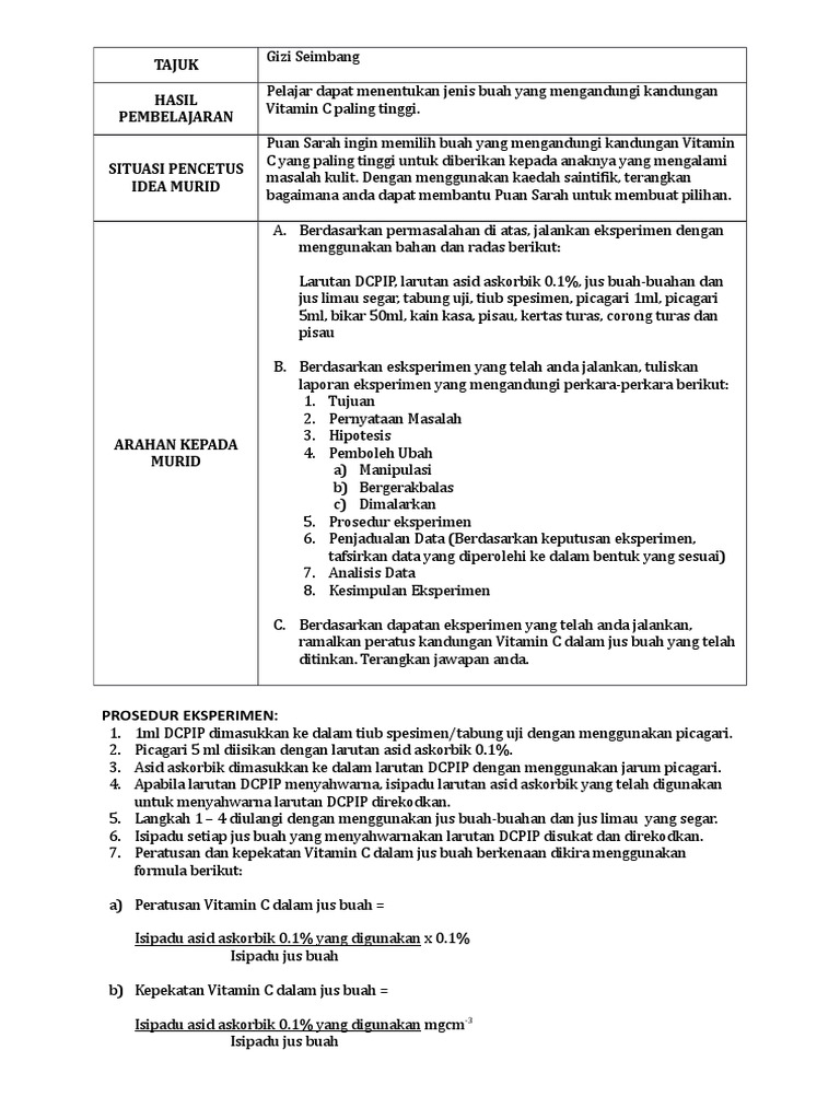
EKSPERIMEN MENENTUKAN KEPEKATAN VITAMIN C DALAM JUS BUAH MENGGUNAKAN LARUTAN DIKLOROFENOLINDOFENOL DCPIP Pernyataan masalah. There is a lot of discussion about the importance of vitamin C in our diets. Disini saya mau berbagi cerita mengenai percobaan reaksi kimia pada Vitamin C dan Betadine.
Label the flask as your vitamin C standard solution. Experiment Vitamine C in Fruit Erasmus1 - YouTube. Vitamin C is an essential nutrient in the diet but is easily reduced or destroyed by exposure to heat and oxygen during processing packaging and storage of food.
These instructions will guide you through them. Dilute to 250 ml with distilled water in a volumetric flask. Saya buat eksperimen ni dgn kelas 4 Beta.
Vitamin C tablets we used 1000 mg tablets Iodine this is. The shape of this flask allows you to swirl the solution to mix it without spilling. 6 7 and O 5 1.
Test fruit juice for Vitamin C in this Home Science Tools video. Minuman ini dikemas dalam 2 bentuk yaitu botol kaca kecil dengan ukuran 140 ml dan botol besar dengan ukuran 600 ml. Implemented experiment was developed to measure vitamin C levels in solutions using visible spectroscopy.
It ensures the optimal functionality of several enzymes by activating certain liver-detoxifying systems. Vitamin C also acts as an antioxidant. Add 10 drops of 1 starch solution.
Apakah kesan jenis jus buah berbeza terhadap kepekatan vitamin C. Cth-Jus jambu batu mempunyai kepekatan vitamin C yang tinggi berbanding jus betik dan jus manga. Under Graduates thesis Universitas Negeri.
Oleh yang demikian buah kiwi buah jambu buah betik buah mangga buah oren dan buah limau telah digunapakai dalam eksperimen ini bagi mengetahui kandungan vitamin C di. Vitamin C is one of the safest and most effective nutrients. When vitamin C is added to a mixed reagent containing Fe 3 and 110-phenanthroline the vitamin C reduces the Fe to Fe 2 which subsequently.
Harry Nugroho 5404416037 2020 EKSPERIMEN PEMBUATAN PERMEN JELLY BUAH PARIJOTO Medinilla speciosa DITINJAU DARI KESUKAAN MASYARAKAT DAN KANDUNGAN VITAMIN C. Jadi saya dapat lebih kurang 12 kumpulan murid. Its elemental analysis gave C 3 8.
Aktiviti ni ada dalam buku teks amali Biologi Tingkatan 4 pada ms 55. EKSPERIMEN PEMBUATAN PERMEN JELLY BUAH PARIJOTO Medinilla speciosa DITINJAU DARI KESUKAAN MASYARAKAT DAN KANDUNGAN VITAMIN C. Pour this into the 50 mL Erlenmeyer flask as shown in Figure 7 below.
The empirical formula of the compound would be. Ada 25 org dalam kelas. Vitamin C Standard Solution.
Untuk ke sekian kalinya saya buat eksperimen Vitamin C. Then the paper was put aside to let it dry. Royal Society of Chemistry Global Experiment 2013 Measuring vitamin C in food Introduction There are four simple parts to the Global Experiment.
Sam Thompson January 29 2008 Section. Dissolve 0250 g vitamin C ascorbic acid in 100 ml distilled water. This experiment was successful in being able to determine the amount of Vitamin C ascorbic acid present in each given supplement.
The procedure to take part in the global experiment measuring the quantity of vitamin C in fruit and vegetables is detailed below. Calibrate your iodine solution Part C. Add 2500 ml of vitamin C standard solution to a 125 ml Erlenmeyer flask.
Experiment Vitamine C in Fruit Erasmus1. The empirical formula of the compound would be. Use the 50 mL graduated cylinder to measure 20 mL of vitamin C standard solution.
Test and compare the vitamin C content in your food samples. After that by using art brush write a message with the lemon juice on the paper. DETERMINATION OF VITAMIN C IN FRESH FRUITS AND VEGETABLES TABLE 1 Vitamin C content offresh fruits mg per 100g edible portion Dye-titration method 1 Microfluorometric method 2 Difference 2 - 1 Pear yellow Pyrus sinensis Apple red Pyrus mJ11us Grapes green Vitis vinifera Coconut young Cocosnucifera Applegreen Pyrus mJ11us.
Pada remaja kebiasaan yang berpengaruh di antaranya adalah merokok minum kopi atau minuman beralkohol konsumsi obat tertentu seperti obat antikejang antibiotik tetrasiklin antiartritis obat tidur dan kontrasepsi oralKebiasaan merokok menghilangkan 25 vitamin C dalam. Y 2019 Vitamin C also provides the essential nutrients that help maintain the connective tissue and bones in our bodies. View Lab Report - Experiment 1 from CHEM 1152 at University of Minnesota Duluth.
Vitamin C is actually ascorbic acid see below for the structure. After the massage on the paper dry dip the paper into iodine solution.

Eksperimen Vitamin C Vs Air Betadine 56 Youtube

Wow Reaksi Betadine Dicampur Vitamin C Dan Penjelasan Rahasia Sulap Air Teh Jadi Air Putih Bening Youtube
Biologi Pengesahan Vitamin C Pdf

Biologi Menguji Kandungan Vitamin C Youtube
Sains Eksperimen Betadine Dan Gallery Homeschooling Facebook

Eksperimen 3 Vitamin C Betadine Youtube

Uji Vitamin C News And Events Www Alfauzien Sch Id Islamic School In Depok

Tugas Laporan Percobaan Reaksi Betadine Dengan Vitamin C Smp Damai Youtube
Skema Question 2 Percubaan Biologi Pdf Vitamin C Jus

Posting Komentar untuk "Eksperimen Vitamin C"